Pengertian Teori Relativitas Khusus , Relativitas Newton , Transformasi Galileo , Rumus , Contoh Soal , Jawaban , Fisika - Coba kalian perhatikan gambar 1. Lekukan di bidang jala menggambarkan gravitasi sebagai hasil distorsi ruang di sekitarnya. Matahari yang terlihat pada potongan kiri , walaupun jauh lebih berat dibandingkan bumi , hanya bisa menghasilkan lekuk kecil jikalau dibanding bintang neutron (tengah) yang berukuran lebih kecil , namun mempunyai massa yang lebih besar. Apalagi jikalau dibandingkan dengan lubang hitam pada kanan gambar yang mempunyai massa luar biasa besar. Fenomena tersebut sanggup dijelaskan oleh teori relativitas yang dinyatakan oleh Albert Einstein.
![]() |
| Gambar 1. Teori relativitas menjelaskan gravitasi sebagai hasil distorsi ruang. |
Relativitas merupakan salah satu dari beberapa teori mengenai gerak , yang dirancang untuk menjelaskan penyimpangan dari mekanika Newton yang timbul akhir gerak relatif yang sangat cepat. Teori ini telah mengubah pandangan kita mengenai ruang , waktu , massa , energi , gerak , dan gravitasi. Teori ini terdiri atas teori khusus dan teori umum , yang keduanya bertumpu pada dasar matematika yang besar lengan berkuasa dan keduanya telah diuji dengan percobaan-percobaan dan pengamatan.
Teori khusus , yang dikembangkan oleh Einstein pada tahun 1905 , berkenaan dengan pembandingan pengukuran yang dilakukan dalam kerangka teladan inersia berbeda yang bergerak dengan kecepatan konstan relatif satu sama lain. Di lain pihak , teori umum , yang dikemukakan tahun 1915 , berkenaan dengan kerangka teladan dan gravitasi yang dipercepat. Pada potongan ini pembahasan akan lebih terfokus pada teori relativitas khusus.
Teori relativitas muncul dari kebutuhan terhadap kerangka teladan , yaitu suatu patokan yang sanggup dipakai ilmuwan untuk menganalisis aturan gerak. Pada waktu kelas X , kalian telah mempelajari Hukum Newton ihwal gerak , di mana Hukum I Newton tidak membedakan antara partikel yang membisu dan partikel yang bergerak dengan kecepatan konstan. Jika tidak ada gaya luar yang bekerja , partikel tersebut akan tetap berada dalam keadaan awalnya , membisu atau bergerak dengan kecepatan awalnya.
Benda akan dikatakan bergerak apabila kedudukan benda tersebut berubah terhadap kerangka acuannya. Kerangka teladan di mana Hukum Newton berlaku disebut kerangka teladan inersia. Jika kita mempunyai dua kerangka teladan inersia yang bergerak dengan kecepatan konstan relatif terhadap yang lainnya , maka tidak sanggup ditentukan potongan mana yang membisu dan potongan mana yang bergerak atau keduanya bergerak. Hal ini merupakan konsep Relativitas Newton , yang menyatakan “gerak mutlak tidak sanggup dideteksi”.
Konsep ini dikenal oleh para ilmuwan pada kurun ke-17. Tetapi , pada selesai kurun ke-19 anutan ini berubah. Sejak dikala itu konsep relativitas Newton tidak berlaku lagi dan gerak mutlak dideteksi dengan prinsip pengukuran kecepatan cahaya.
B. Transformasi Galileo
Pada sudut pandang klasik atau Galileo , jikalau terdapat dua kerangka teladan S dan S′ yang masing-masing dicirikan dengan sumbu koordinat yang ditunjukkan Gambar 2.
![]() |
| Gambar 2. Kerangka teladan S bergerak ke kanan dengan kecepatan v relatif terhadap kerangka S. |
Sumbu x dan x' saling berimpitan , dan diasumsikan kerangka S′ bergerak ke kanan (arah x) dengan kecepatan v relatif terhadap S. Untuk menyederhanakan , diasumsikan bahwa teladan O dan O' dari kedua kerangka teladan saling berimpit pada t = 0.
Sekarang , dimisalkan terjadi sesuatu di titik P yang dinyatakan dalam koordinat x ' , y ' , z' dalam kerangka teladan S' pada dikala t'. Bagaimana koordinat P di S? Perlu diketahui , alasannya ialah S dan S' mula-mula berimpitan , sehabis t , S' akan bergerak sejauh vt'. Sehingga pada dikala t ' akan berlaku:
x = x' + vt' ..................................................... (1)
y = y'.............................................................. (2)
z = z' ............................................................. (3)
t = t '.............................................................. (4)
Persamaan-persamaan tersebut dinamakan persamaan transformasi Galileo.
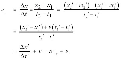
Jika titik P pada Gambar 10.2 menunjukkan sebuah benda yang bergerak , maka komponen vektor kecepatannya di S' dimisalkan ux' , uy' ,uz'. Diperoleh ux' = Dx'/Dt' , uy' = Dy' /Dt' , dan uz' = Dz' /Dt'. Jika pada t1' partikel berada di x1′ dan sesaat lalu , t2 berada di x2′ , diperoleh:
Jadi , kecepatan P menyerupai terlihat dari S akan mempunyai komponen ux , uy , dan uz. Untuk komponen yang berafiliasi dengan komponen kecepatan di S' diperoleh:
Dapat disimpulkan bahwa:
ux = ux'+ v ......................................................... (6)
uy = uy' ............................................................... (7)
uz = uz' ................................................................ (8)
yang disebut persamaan transformasi kecepatan Galileo.
Contoh Soal 1 :
Sebuah transformasi koordinat x' pada transformasi Galileo dinyatakan oleh x' = x – vt. Buktikan bahwa transformasi Galileo untuk kecepatan adalah ux' = ux' – v!
Penyelesaian:
Transformasi kecepatan , ux' terhadap ux dapat diperoleh jikalau tiap koordinat diturunkan terhadap peubah waktu t.
C. Percobaan Michelson Morley
D. Relativitas Einstein atau Postulat Einstein.
E. Massa Relativistik , Momentum Relativistik , dan Energi Relativistik.
D. Relativitas Einstein atau Postulat Einstein.
E. Massa Relativistik , Momentum Relativistik , dan Energi Relativistik.
Anda kini sudah mengetahui Relativitas Khusus dan Relativitas Newton. Terima kasih anda sudah berkunjung ke Perpustakaan Cyber.
Referensi :
Budiyanto , J. 2009. Fisika : Untuk SMA/MA Kelas XII. Pusat Perbukuan , Departemen Pendidikan Nasional , Jakarta. p. 298.





0 Response to "Pengertian Teori Relativitas Khusus| Relativitas Newton| Transformasi Galileo| Rumus| Referensi Soal| Jawaban| Fisika"